Artigo Original:
Comparação entre crioterapia por imersão e recuperação passiva: efeitos agudos pós-esforço sobre parâmetros eletromiográficos e dinamométricos. PECIBES, 26-31, 2016
Resumo
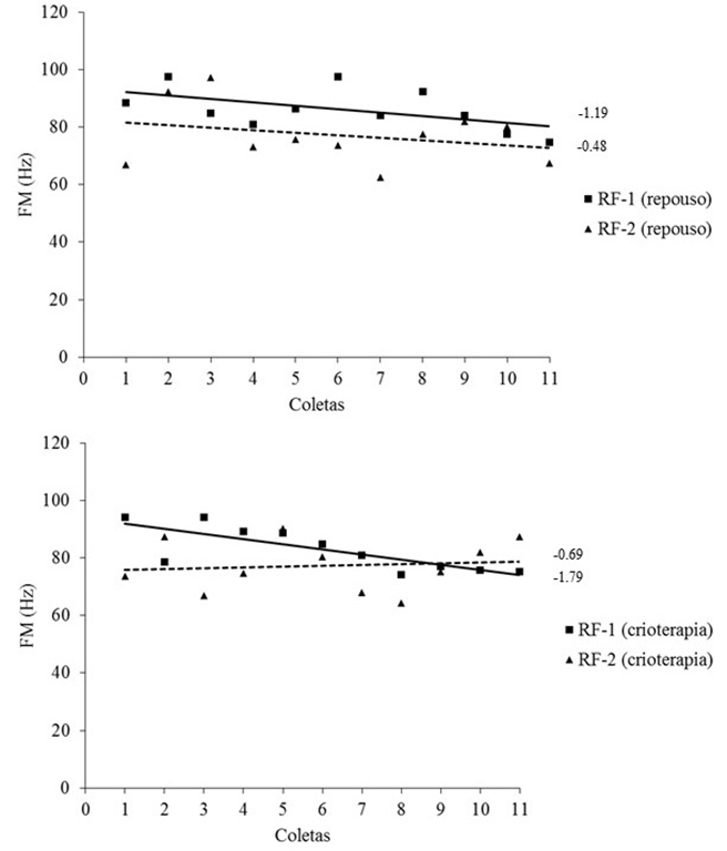
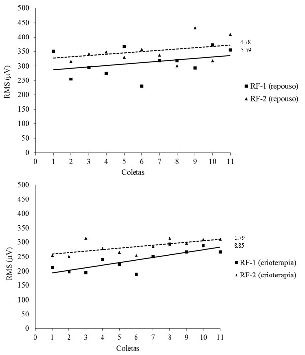
O objetivo do estudo foi comparar os efeitos da crioterapia por imersão (CI) e da recuperação passiva (RP) após protocolo de indução à fadiga muscular. A força isométrica máxima (FIM) de dois voluntários do sexo masculino foi determinada e em seguida foram submetidos a um teste de exaustão submáximo dos extensores do joelho em intensidade de 80% da FIM. Após a exaustão, um voluntário manteve-se em recuperação passiva (RP) e o outro foi submetido a CI (5 °C; 5 minutos). A fadiga e a recuperação muscular foram avaliadas pelo comportamento da FIM e de parâmetros eletromiográficos (EMG) obtidos antes e após a exaustão, e após os períodos de recuperação. A força muscular demonstrou ser recuperada em ambos os voluntários de modo similar. Por outro lado, analisando os parâmetros EMG, a CI demonstrou promover recuperação superior à RP.
Downloads
Arquivos adicionais
Publicado
Edição
Seção
Licença
Ao publicar na PECIBES, os direitos de copyright são mantidos pelos autores. Acreditamos que isto permite aos autores ampla divulgação do trabalho, sendo os mesmos responsáveis por todas as informações veiculadas. No entanto, em caso de reuso dos dados, a origem (Revista PECIBES) deve ser citada.
