NaNO2/HCl/TBAB Catalyst: A Controlled Aerobic Oxidation of Sulfide Substrate in the Preparation of Polmacoxib Intermediate Under Mild Conditions
- NSAIDs,
- Oxidation,
- Pharmaceuticals,
- Phase transfer catalyst,
- Polmacoxib
- Process chemistry ...More
Copyright (c) 2024 Orbital: The Electronic Journal of Chemistry

This work is licensed under a Creative Commons Attribution-NonCommercial-NoDerivatives 4.0 International License.
Abstract
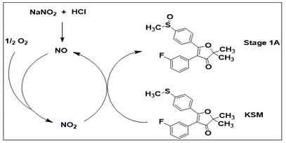
The oxidation of sulfide substrate in one of the synthetic stages of Polmacoxib drug substance has been efficiently performed employing cost efficient NaNO2-HCl reagents in phase transfer catalyst TBAB containing biphasic MDC-Water reaction media at 0-5 °C temperature to afford sulfoxide intermediate (1A) as an only product. The formed products were characterized by techniques such as NMR, MS and IR spectroscopy. To the best of our knowledge, the present work is the first report on utilization of NaNO2/TBAB/HCl catalytic system for the preparation of Polmacoxib stage 1A intermediate. Cost and energy efficiency, use of commercially available catalysts, high yields and purity are merits of the present work.
